Basic Concept
The m-Coloring problem concerns finding all ways to color an undirected graph using at most m different colors, so that no two adjacent vertices are the same color. We usually call the m-Coloring problem a unique problem for each value of m. An important application of graph coloring is the coloring of maps.
๐ m-๊ทธ๋ํ ์ฑ์ ๋ฌธ์ ๋ ๋น๋ฐฉํฅ๊ทธ๋ํ์์ ์๋ก ์ธ์ ํ ์ ์ ์ด ๊ฐ์ ์์ ๊ฐ์ง ์๋๋ก ์ต๋ m๊ฐ์ ๋ค๋ฅธ ์์ผ๋ก ์น ํ๋ ๋ฐฉ๋ฒ์ ๋ชจ๋ ์ฐพ๋ ๊ฒ์ด๋ค. m๊ฐ์ ๋ํด์๋ ๊ฐ๊ธฐ ๋ค๋ฅธ ๋ฌธ์ ๋ก ์ทจ๊ธํ๋ค. ๊ทธ๋ํ ์ฑ์์ ์ค์ํ ์์ฉ์ ์ง๋์ ์ฑ์์ด๋ค.
A graph is called planar if it can be drawn in a plane in such a way that no two edges cross each other. The graph at the below is planar. However, if we were to add the edges ($v_1$, $v_5$) and ($v_2$, $v_4$) it would no longer be planar. To every map there corresponds a planar graph. Each region in the map is represented by a vertex. If one region is adjacent to another region, we join their corresponding vertices by an edge. The below figure shows a map at the left and its planar graph representation at the right.

๐ 2๊ฐ์ ์ด์์ ์ด ์๋ก ๊ต์ฐจํ์ง ์๋๋ก ๊ทธ๋ฆฐ ๊ทธ๋ํ๋ฅผ ํ๋ฉด๊ทธ๋ํ๋ผ๊ณ ํ๋ค. ๋ชจ๋ ์ง๋๋ ๊ทธ์ ์์ํ๋ ํ๋ฉด๊ทธ๋ํ๋ก ๋ฐ๊ฟ ๊ทธ๋ฆด ์ ์๋ค. ์ง๋์์ ๊ฐ ์ง์ญ์ ์ ์ ์ ํด๋นํ๋ค. ๋ง์ผ ํ ์ง์ญ์ด ๋ค๋ฅธ ์ง์ญ๊ณผ ์ธ์ ํด ์์ผ๋ฉด, ๊ทธ ์ ์ ๋ค์ ์ด์์ ์ผ๋ก ์ฐ๊ฒฐํ๋ค.
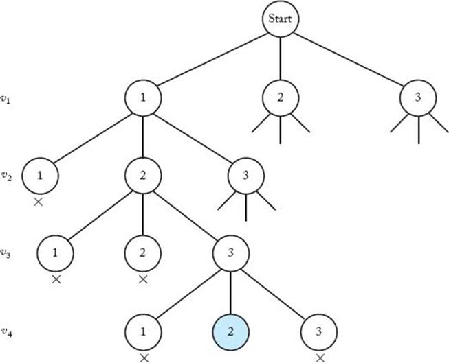
Example There is no solution to the 2-Coloring problem for this graph because, if we can use at most two different colors, there is no way to color the vertices so that no adjacent vertices are the same color. One solution to the 3-Coloring problem for this graph is as follows:

$$ \begin{align} Ve&rtex &Color \notag{}\\ &v_1 &color1 \notag{} \\ &v_2 &color2 \notag{} \\ &v_3 &color3 \notag{} \\ &v_4 &color4 \notag{} \end{align} $$
There are a total of six solutions to the 3-Coloring problem for this graph. However, the six solutions are only different in the way the colors are permuted. For example, another solution is to color $v_1$ color 2, $v_2$ and $v_4$ color 1, and $v_3$ color 3.
๐ ์์ ๊ทธ๋ํ์์ ์ต๋ 2๊ฐ์ ์๋ง ์ฌ์ฉํ ์ ์๋ค๋ฉด ์ธ์ ํ ์ ์ ์ด ๊ฐ์ ์์ ๊ฐ์ง ์๋๋ก ์น ํ๋ ๊ฒ์ ๋ถ๊ฐ๋ฅํ๋ค. ์ฆ, 2-Coloring ๋ฌธ์ ์ ๋ํ ํด๋ต์ ์๋ค.
3๊ฐ์ ๋ค๋ฅธ ์์ผ๋ก ๊ทธ๋ํ๋ฅผ ์ฑ์ํ๋ ๊ฒฝ์ฐ ์ด 6๊ฐ์ง ํด๋ต์ด ์กด์ฌํ๋ค. ๊ทธ๋ฌ๋ 6๊ฐ์ง ํด๋ต์ ์์ด ์กฐํฉ๋ ๋ฐฉ๋ฒ๋ง ๋ค๋ฅผ ๋ฟ์ด๋ค.
The Backtracking Algorithm for the m-Coloring Problem
Algorithm Design
A straightforward state space tree for the m-Coloring problem is one in which
- each possible color is tried for vertex $v_1$ at level 1,
- each possible color is tried for vertex $v_2$ at level 2,
- and so on until each possible color has been tried for vertex $v_n$ at level n.
Each path from the root to a leaf is a candidate solution. We check whether a candidate solution is a solution by determining whether any two adjacent vertices are the same color.

๐ m-Coloring ๋ฌธ์ ์ ๋ํ ์ํ๊ณต๊ฐํธ๋ฆฌ๋ ๋ค์๊ณผ ๊ฐ๋ค. ๋ ๋ฒจ 1์์ ์ ์ $v_1$์ ๊ฐ๋ฅํ ๋ชจ๋ ์์ ๊ฐ๊ฐ ์๋ํ๊ณ , ๋ ๋ฒจ 2์์๋ ์ ์ $v_2$์ ๊ฐ๋ฅํ ๋ชจ๋ ์์ ๊ฐ๊ฐ ์๋ํด ๋ณธ๋ค. ์ด๋ฐ์์ผ๋ก ๋ ๋ฒจ n์์๋ ์ ์ $v_n$์ ๊ฐ๋ฅํ ๋ชจ๋ ์์ ๊ฐ๊ฐ ์๋ํด ๋ณธ๋ค.
์ํ๊ณต๊ฐํธ๋ฆฌ์ ๋ฃจํธ๋ ธ๋์์ ์๋ ธ๋๊น์ง์ ๊ฒฝ๋ก๊ฐ ํด๋ตํ๋ณด๊ฐ ๋๋ฉฐ, ์ธ์ ํ ์ ์ ์ด ๊ฐ์ ์์ธ์ง๋ฅผ ๊ฒฐ์ ํจ์ผ๋ก์จ ํด๋ต์ฌ๋ถ๋ฅผ ํ๋จํ๋ค.
We can backtrack in this problem because a node is nonpromising if a vertex that is adjacent to the vertex being colored at the node has already been colored the color that is being used at the node. After $v_1$ is colored color 1, choosing color 1 for $v_2$ is nonpromising because $v_1$ is adjacent to $v_2$. Similarly, after $v_1$, $v_2$, and $v_3$ have been colored colors 1, 2, and 3, respectively, choosing color 1 for $v_4$ is nonpromising because $v_1$ is adjacent to $v_4$.
๐ ํ ์ ์ ์์ ์ฌ์ฉ๋ ์์ด ์ธ์ ํ ์ ์ ์ ์น ํ๊ธฐ ์ํด ์ฌ์ฉ๋๋ค๋ฉด ๊ทธ ๋ง๋๋ ์ ๋งํ์ง ์๋ค. ์ด ์ ์ ์ด์ฉํ๋ฉด ์ด๋ฒ ๋ฌธ์ ์์๋ ๋ฐฑํธ๋ํน์ ์ ์ฉํ ์ ์๋ค. ์๋ฅผ ๋ค์ด, $v_1$์ ์1๋ก ์น ํ ํ $v_2$์์ ์1์ ์ ํํ๋ ๊ฒ์ ์ ๋งํ์ง ์๋ค. $v_1$๊ณผ $v_2$๋ ์๋ก ์ธ์ ํด์๊ธฐ ๋๋ฌธ์ด๋ค. ๋ง์ฐฌ๊ฐ์ง๋ก $v_1$, $v_2$, $v_3$๋ฅผ ์1, ์2, ์3์ผ๋ก ์น ํ ๊ฒฝ์ฐ $v_4$์์ ์1์ ์ ํํ๋ ๊ฒ์ ์ ๋งํ์ง ์๋ค.
In this algorithm the graph is represented by an adjacency matrix. However, because the graph is unweighted, each entry in the matrix is simply true or false depending on whether or not there is an edge between the two vertices.
๐ ์ด๋ฒ ์๊ณ ๋ฆฌ์ฆ์ ์ ๋ ฅ๊ฐ์ผ๋ก ๋น๋ฐฉํฅ์ฑ ๊ทธ๋ํ ์๋ฃ๊ตฌ์กฐ(์ธ์ ํ๋ ฌ๋ก ํํ)๊ฐ ์ฌ์ฉ๋๋ค. ๋น๋ฐฉํฅ์ฑ ๊ทธ๋ํ๋ ์๋ก ๋ค๋ฅธ ๋ ์ ์ ๊ฐ ์ด์์ ์ด ์๋ค๋ฉด True, ์๋ค๋ฉด False๋ก ๋ฐ์ดํฐ๋ฅผ ๊ด๋ฆฌํ๋ค.
Pseudo Code
- The Backtracking Algorithm for the m-Coloring Problem
void m_coloring(index i)
{
int color;
if (promising(i))
if (i == n)
cout << vcolor[1] through vcolor[n];
else
for (color = 1; color <= m; color++) {
vcolor[i+1] = color;
m_coloring(i+1);
}
}
bool promising(index i)
{
index j;
bool switch;
switch = true;
j = 1;
while (j < i && switch) {
if (W[i][j] && vcolor[i] == vcolor[j])
switch = false;
j++;
}
return switch;
}
Source Code
- mcoloring.h
// File: mcoloring.h
#ifndef GRAPH_COLOR_H
#define GRAPH_COLOR_H
#include "graph.h"
using namespace data_structures; // for graph
namespace algorithms
{
void m_coloring(graph g, int i, int* vcolor);
// Problem: Determine all ways in which the vertices in an undirected graph can
// be colored, using only m colors, so that adjacent vertices are not the same
// color.
// Inputs: positive integers n and m, and an undirected graph containing
// n vertices. The graph is represented by a two-dimensional array W, which
// has both its rows and columns indexed from 1 to n, where W [i][j] is true if
// there is an edge between ith vertex and the jth vertex and false otherwise.
// Outputs: all possible colorings of the graph, using at most m colors, so that
// no two adjacent vertices are the same color. The output for each coloring is
// an array vcolor indexed from 1 to n, where vcolor[i] is the color
// (an integer between 1 and m) assigned to the ith vertex.
bool promising(graph g, int i, int* vcolor);
template <typename Item>
Item* get_vector_space(const int n)
// Prostcondition: Return the array containing n spaces
{
Item* v = new Item[n];
return (v-1); // offset the pointer
}
}
#endif
- mcoloring.cpp
// File: mcoloring.cpp
#include <iostream>
#include <iomanip> // Provides setw
#include "mcoloring.h"
namespace algorithms
{
void m_coloring(graph g, int i, int *vcolor)
{
const int m = 3; // m is the number of colors.
if (promising(g, i, vcolor))
{
if (i == (g.get_size()))
{
// Print vcolor[1] through vcolor[n];
for (int i = 1; i <= g.get_size(); ++i)
std::cout << std::setw(4) << g[i] << "'s color: " << vcolor[i];
std::cout << std::endl;
}
else
{
for (int color = 1; color <= m; ++color)
{
vcolor[i + 1] = color;
m_coloring(g, i + 1, vcolor);
}
}
}
}
bool promising(graph g, int i, int *vcolor)
{
int j;
bool is_switch;
const int EDGES_CONN = 1;
j = 1;
is_switch = true;
while (j < i && is_switch)
{
if (g.get_edge(i, j) == EDGES_CONN && vcolor[i] == vcolor[j])
is_switch = false;
++j;
}
return is_switch;
}
} // namespace algorithms
- mcoloringtest.cpp
// File: mcoloringtest.cpp
#include <cstdlib>
#include <iostream>
#include "mcoloring.h"
#include "graph.h"
using namespace algorithms;
int main( )
{
const int GRAPH_SIZE = 4;
const int EDGES_CONN = 1;
graph W(GRAPH_SIZE);
int* vcolor = get_vector_space<int>(GRAPH_SIZE);
W.set_vertex("v1");
W.set_vertex("v2");
W.set_vertex("v3");
W.set_vertex("v4");
W.set_edge(1, 2, EDGES_CONN);
W.set_edge(1, 3, EDGES_CONN);
W.set_edge(1, 4, EDGES_CONN);
W.set_edge(2, 1, EDGES_CONN);
W.set_edge(2, 3, EDGES_CONN);
W.set_edge(3, 1, EDGES_CONN);
W.set_edge(3, 2, EDGES_CONN);
W.set_edge(3, 4, EDGES_CONN);
W.set_edge(4, 1, EDGES_CONN);
W.set_edge(4, 3, EDGES_CONN);
m_coloring(W, 0, vcolor);
delete [ ](vcolor + 1);
return EXIT_SUCCESS;
}
Time Complexity Analysis
Worst-Case Time Complexity
$\displaystyle O(n) = 1 + m + m^2 + m^3 + … + m^n = \frac{m^{n+1} - 1}{m-1} \in \Theta(m^n) $
For a given m and n, it is possible to create an instance that checks at least an exponentially large number of nodes (in terms of n). As with any backtracking algorithm, even though the worst case is exponential, the algorithm can be efficient for many large instances.
๐ ํ ์ ์ ์์ ๊ฐ๋ฅํ ๋ชจ๋ ์(m๊ฐ)์ ์๋ํด ๋ด์ผํ๋ฏ๋ก ์ฃผ์ด์ง m, n์ ๋ํด ์ต์ํ ์ง์๋งํผ ๋ง์ ๋ ธ๋์ ์๋ฅผ ์ ๊ฒํ๋ ์ํ๊ณต๊ฐํธ๋ฆฌ๋ฅผ ๋ง๋ค ์ ์๋ค. ํ์ง๋ง ๊ฐ์ง์น๊ธฐ๋ฅผ ํตํด ์ํ๋ ธ๋์ ์๋ฅผ ์ค์ผ ์ ์๊ธฐ ๋๋ฌธ์ ์๊ณ ๋ฆฌ์ฆ์ ํจ์จ์ ๋ ์ข์ ์ ์๋ค.
n-Queens ๋ฐ ๋ถ๋ถ์งํฉ์ ํฉ ๊ตฌํ๊ธฐ ๋ฌธ์ ์ ๋ง์ฐฌ๊ฐ์ง๋ก ์ ๋งํ ๋ ธ๋์ ์๋ฅผ ์ ํํ ๊ตฌํ๊ธฐ ์ํ ๋ฐฉ๋ฒ์ ์ค์ ์๊ณ ๋ฆฌ์ฆ์ ์ํ ํ ๊ตฌ์ถ๋ ์ํ๊ณต๊ฐํธ๋ฆฌ์ ๋ ธ๋ ๊ฐฏ์๋ฅผ ์ธ์ด ๋ณด๋ ์ ๋ฐ์ ์๋ค. ๋ํ ๋ชฌํ ์นด๋ฅผ๋ก ์๊ณ ๋ฆฌ์ฆ์ ์ด์ฉํด ์๊ฐ๋ณต์ก๋๋ฅผ ์ถ์ ํ ์ ์๋ค.
'Algorithms > Backtracking' ์นดํ ๊ณ ๋ฆฌ์ ๋ค๋ฅธ ๊ธ
| Backtracking with the 0-1 Knapsack problem(Depth-First Search)(0-1 ๋ฐฐ๋ญ ๋ฌธ์ -๊น์ด์ฐ์ ํ์) (2) | 2011.12.24 |
|---|---|
| The Sum-of-Subsets Problem(๋ถ๋ถ์งํฉ์ ํฉ ๊ตฌํ๊ธฐ) (2) | 2011.12.23 |
| n-Queens Problem(n-ํธ ๋ฌธ์ ) (0) | 2011.10.03 |
| Backtracking(๋ฐฑํธ๋ํน) (0) | 2011.08.06 |
